Compostos Aromáticos
Lista de 15 exercícios de Química com gabarito sobre o tema Compostos Aromáticos com questões de Vestibulares.
Você pode conferir as videoaulas, conteúdo de teoria, e mais questões sobre o tema Compostos Aromáticos.
01. (UFPE) Segundo as estruturas dos compostos descritos a seguir, quais deles não são aromáticos?

- Naftaleno e fenantreno
- Cicloexeno e ciclobuteno
- Benzeno e fenantreno
- Ciclobuteno e fenol
- Cicloexeno e benzeno
02. (UFSCar-SP) A queima do eucalipto para produzir carvão pode liberar substâncias irritantes e cancerígenas, tais como benzoantracenos, benzofluorantenos e dibenzoantracenos, que apresentam em suas estruturas anéis de benzeno condensados. O antraceno apresenta três anéis e tem fórmula molecular:
- C14H8
- C14H10
- C14H12
- C18H12
- C18H14
03. (UFPI) A aromaticidade é uma importante propriedade relacionada com a estabilidade dos compostos orgânicos. Os compostos aromáticos apresentam algumas características estruturais que lhes conferem estabilidade. Observe as estruturas dos compostos adiante.

Pode-se concluir que:
- todos são aromáticos.
- apenas fenol, pirano e piridina são aromáticos.
- apenas furano, piridina e pirrol são aromáticos.
- apenas furano, pirano, piridina e pirrol são aromáticos.
- apenas fenol, furano, pirrol e piridina são aromáticos.
04. (Fatec-SP) No rótulo de um solvente comercial há indicação de que contém apenas hidrocarbonetos alifáticos (não aromáticos). A partir dessa informação, conclui-se que esse solvente não deverá conter, como um de seus componentes principais, o:
- Tolueno.
- Hexano.
- Heptano.
- Cicloexano.
- Pentano.
05. (Enem) Entre os compostos orgânicos considerados agentes cancerígenos, encontramos os hidrocarbonetos e seus derivados. A absorção desse tipo de composto no corpo, por contato com a pele, por ingestão oral e por inalação de seus vapores, promove alterações metabólicas, entre elas a diminuição da quantidade de leucócitos, a leucopenia, e o câncer.
O benzopireno é um dos agentes cancerígenos mais potentes. Ele pode ser obtido na combustão da hulha, do carvão em churrasco – carnes grelhadas são contaminadas por essa combustão – e do tabaco – a fumaça rica em benzopireno provoca o câncer de boca e laringe.
Outro hidrocarboneto aromático prejudicial à saúde humana é o benzeno. A determinação do grau de intoxicação por benzeno é feita pela medida da concentração de fenol (C6H5OH) na urina.
A cola de sapateiro possui um hidrocarboneto aromático, o tolueno, que também produz efeitos semelhantes aos das bebidas alcoólicas, podendo levar uma pessoa ao estado de coma e até à morte.
Com base no texto, pode-se afirmar que:
- todos os hidrocarbonetos são agentes cancerígenos.
- os hidrocarbonetos aromáticos efetuam o fenômeno da ressonância, aumentando a estabilidade do anel e diminuindo o comprimento das ligações π do mesmo.
- entre os hidrocarbonetos citados no texto, o único que possui caráter ácido é o fenol.
- todos os hidrocarbonetos citados no texto são aromáticos.
- o tolueno apresenta o nome sistemático dimetilbenzeno.
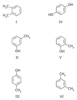
06. (UFOP-MG) Considere a série de compostos aromáticos indicados de I a VI.

São nomeadas, utilizando o prefixo meta e para, respectivamente, as substâncias do par:
- I e IV.
- II e IV.
- III e V.
- VI e II.
07. (UNIFESO) O benzeno é um hidrocarboneto aromático líquido muito usado na indústria como solvente e como matéria prima básica na produção de diversos compostos orgânicos importantes. Atualmente, quase todo o benzeno produzido no mundo vem da indústria petroquímica.
Um dos processos químicos que contribuem para a produção industrial do benzeno é denominado reforma catalítica. Na última etapa desse processo, depois que os produtos aromáticos da reação são separados da mistura reacional por extração, obtêmse uma mistura líquida de aspecto homogêneo que contém o benzeno. Nesse ponto, o benzeno é separado dos demais produtos aromáticos por
- filtração.
- decantação.
- separação magnética.
- dissolução fracionada.
- destilação fracionada.
08. (IFSul) Antigamente, a hulha era utilizada como principal fonte de hidrocarbonetos aromáticos, mas passou a ser substituída pelo petróleo no início do século XX, com a Segunda Revolução Industrial. A produção desses compostos orgânicos a partir do petróleo é mais viável economicamente, além de que a quantidade de hidrocarbonetos aromáticos obtidos da hulha não seria suficiente para suprir a crescente demanda industrial.
Fonte: http://www.infoescola.com/quimica/hulha/ - adaptado.
Qual alternativa mostra apenas compostos aromáticos, semelhantes aos que seriam obtidos da hulha?
- Benzeno, hexano, tolueno e fenol.
- Tolueno, Naftaleno, Benzeno e Fenol.
- Naftaleno, Metano, Hexeno e Hidroxibenzeno.
- Hidroxibenzeno, Etano, Ciclohexano e tolueno.
09. (UEPB) As bolinhas de naftalina são produtos muito utilizados em armários, no combate às traças. Elas diminuem de tamanho com o passar do tempo por causa do fenômeno da sublimação. Assinale a alternativa que corresponde ao constituinte químico da naftalina e à série orgânica à qual pertence, respectivamente:
- tolueno, hidrocarboneto
- naftaleno, cicleno
- fenantreno, alceno
- naftaleno, hidrocarboneto aromático
- naftol, fenol
10. (UFRGS) Em 1863, a síntese da alizarina, corante azulado conhecido como anil, trouxe ao alcatrão da hulha, até então considerado como resíduo indesejável de indústrias de aço, grande importância como fonte de compostos orgânicos. A importância do alcatrão da hulha na química orgânica deve-se ao fato de ser constituído, principalmente, de substâncias com cadeia carbônica do mesmo tipo que a do:
- hexano.
- cicloexano.
- éter etílico.
- propeno.
- naftaleno.
11. (Unisinos-RS) Considere o seguinte composto:

Sua nomenclatura correta é:
- 1, 2 – etil – 3 – propil benzeno
- 1, 2 – dimetil – 3 – propil benzeno
- 1 – propil – 2, 3 – dimetil benzeno
- o – metil – m – propil benzeno
- m – dimetil – o – propil benzeno
12. (FGV-SP) A destilação de hulha produz uma série de compostos, um dos quais é um hidrocarboneto de massa molar 78 g.mol–1. Considerando-se que as massas molares do carbono, do hidrogênio e do oxigênio são, respectivamente, 12, 1 e 16 g.mol–1, concluímos que esse hidrocarboneto é:
- hexeno.
- benzeno.
- pentano.
- ciclopentano.
- hexano.
13. (UEL) Uma alternativa para os catalisadores de células a combustíveis são os polímeros condutores, que pertencem a uma classe de novos materiais com propriedades elétricas, magnéticas e ópticas. Esses polímeros são compostos formados por cadeias contendo ligações duplas conjugadas que permitem o fluxo de elétrons. Assinale a alternativa na qual ambas as substâncias químicas apresentam ligações duplas conjugadas.
- Propanodieno e metil-1,3-butadieno
- Propanodieno e ciclopenteno
- Ciclopenteno e metil-1,3-butadieno
- Benzeno e ciclopenteno
- Benzeno e metil-1,3-butadieno
14. (ITA-SP) Qual das alternativas a seguir apresenta o material com maior concentração de carbono?
- Negro de fumo
- Carvão
- Alcatrão
- Piche
- Óleo diesel
15. (UNIFOR) Os hidrocarbonetos aromáticos policíclicos, tambémconhecidoscomo HPAs(hidrocarbonetos policíclicos aromáticos), são compostos químicos que constituem vários tipos de combustíveis, e são responsáveis por boa parte da poluição atmosférica que afeta o meio ambiente. Os hidrocarbonetos policíclicos aromáticos são prejudiciais e altamente tóxicos ao organismo. Sua toxicidade depende da presença de HAPs específicos, variando seu grau de toxicidade moderada a extremamente tóxico. Atualmente existem sete HPAs mais conhecidos por serem altamente cancerígenos; esses hidrocarbonetos policíclicos aromáticos específicos têm sido associados a uma variedade de cânceres, incluindo câncer de mama e de pulmão. São poluentes orgânicos de grande persistência (POP) ambiental, e muitos deles e/ou seus derivados são potencialmente carcinogênicos e ou/ mutagênicos.
O HPAs são formados durante processos de combustão incompleta, incineração de matéria orgânica, erupções vulcânicas, assim como resultado de processos industriais ou outras atividades humanas, incluindo o processamento e preparação de alimentos. Um dos principais HPA apresenta a seguinte estrutura:

De acordo com a IUPAC, a nomenclatura correta para o composto acima é
- Trataceno.
- Pireno.
- Antraceno.
- Naftaleno.
- Fenantreno.