Cones
Gabarito de Matemática sobre o tema Cones com questões de Vestibulares.
Você pode conferir as videoaulas, conteúdo de teoria, e mais questões sobre o tema Cones.
01. (Fuvest) Deseja-se construir um cone circular reto com 4cm de raio da base e 3cm de altura. Para isso, recorta-se, em cartolina, um setor circular para a superfície lateral e um círculo para a base. A medida do ângulo central do setor circular é:
- 144°
- 192°
- 240°
- 288°
- 336°
Resposta: D
Resolução:
02. (Cefet-SC) Dado um copo em forma de cilindro e outro de forma cônica de mesma base e altura. Se eu encher completamente o copo cônico com água e derramar toda essa água no copo cilíndrico, quantas vezes terei que fazê-lo para encher completamente esse copo?
- Apenas uma vez.
- Duas vezes.
- Três vezes.
- Uma vez e meia.
- É impossível saber, pois não se sabe o volume de cada sólido.
Resposta: C
Resolução: Terei que fazê-lo para encher completamente esse copo três vezes.
Primeiramente, vamos relembrar da fórmula do volume do cone e do cilindro.
O volume do cone é igual a um terço do produto da área da base pela altura. Já o volume do cilindro é igual ao produto da área da base pela altura.
De acordo com o enunciado, os copos nos formatos cilíndricos e cônicos possuem a mesma base e a mesma altura.
Vamos considerar que o raio da base é r e a altura é h.
Sendo assim, temos que o volume do cilindro é V' = πr².h e o volume do cone é V'' = πr².h/3.
Observe que podemos dizer que V'' = V'/3 ou, mais precisamente, V' = 3.V'', ou seja, o volume do cilindro é igual a três vezes o volume do cone.
Com isso, podemos concluir que teremos que encher o copo cônico três vezes para encher o cilindro.
03. (UNIFOR-CE) Em um cone reto, a área da base é 9π cm² e a geratriz mede 3√10 cm. O volume desse cone, em centímetros cúbicos, é:
- 27π
- 36π
- 48π
- 54π
- 81π
Resposta: A
Resolução: No cone reto ou cone de revolução temos uma propriedade que diz que:

04. (Cesgranrio) Um copo de papel, em forma de cone, é formado enrolando-se um semicírculo que tem um raio de 12cm. O volume do copo é de, aproximadamente:
- 390 cm²
- 350 cm²
- 300 cm²
- 260 cm²
- 230 cm²
Resposta: A
Resolução:
Começa em 4:22
05. (UEMA) O volume de um cone equilátero que tem como área da base Ab = 12π m² é:
- 72π m³
- 24π m³
- 36π m³
- 28π m³
- 40π m³
Resposta: B
Resolução: Cone equilátero ⇒ Geratriz = 2 * raio !
Como a base do cone é um círculo (⇒ π * r²) e a área da base, neste caso, é 12 * π m², então:
π * r² = 12 * π ("cortam-se" os π's)
r² = 12
r = √12 m ⇒ Este é o raio da base !
Geratriz = 2 * raio
Geratriz = 2 * √12 m ⇒ esta é a geratriz do cone !
Sabemos que o raio (r), a altura (h) e a geratriz (g) formam um triângulo retângulo, onde g ⇒ hipotenusa e r e h ⇒ catetos... logo, por Pitágoras:
g² = r² + h²
Sendo g = 2 * √12 m e r = √12 m ( h = ???... ) ⇒
(2 * √12)² = (√12)² + h²
4 * 12 = 12 + h²
48 = 12 + h²
48 - 12 = h²
h² = 36
h = √36
h = 6 metros (descartamos "-6 metros")...
Por fim, Volume (V) = Ab * h / 3
Sendo ⇒
Ab = π * r² = 12 * π m²;
h = 6 m;
V = ???...
V = 12 * π * 6 / 3
V = 72 * π / 3
V = 24 * π m³
06. (PUC-MG) Um monte de areia tem a forma de um cone circular reto, com volume V= 4πm³. Se o raio da base é igual a dois terços da altura desse cone, pode-se afirmar que a medida da altura do monte de areia, em metros, é:
- 2
- 3
- 4
- 5
Resposta: B
Resolução:
07. (UFPI) Se 8π cm² é a área lateral de um cone circular reto cujo raio da base é 2 cm, então a altura desse cone, em cm, é:
- √2
- √3
- √6
- 2√2
- 2√3
Resposta: E
Resolução: A = π × r × g
8π = π × 2 × g
g = 4 cm
g² = r² + h²
4² - 2²= h²
h² = (4-2)(4+2)
h = √12
h =2√3 cm
08. (Cefet-PR) O raio da base de um cone circular reto mede 3 m e o perímetro de sua seção meridiana mede 16 m. O volume desse cone mede:
- 8π m³
- 10π m³
- 14π m³
- 12π m³
- 36π m³
Resposta: D
Resolução: a seção meridiana é dado pela formula
2g + 2r = 16
2g + 2*3 = 16
2g + 6 = 16
2g = 10
g = 5
altura do cone
g² = h² + r²
5² = h² + 3²
h² = 25 - 9 = 16
h = 4
Volume pela formula
V = π * r² * h / 3
V = π * 3² * 4 / 3¨
V = 12π m³
09. (MACK-SP) A planificação da superfície lateral de um cone é um semicírculo de raio 10√3. O volume do cone é:
- 357π
- 573π
- 375π
- 537π
- 735π
Resposta: C
Resolução: Área lateral
Al = π.R²
Al = π.(10√3)²
Al = 300.π
Porém, como é um semicírculo
300.π/2 = 150.π
150.π = π.r.g
r = raio da base
g nesse caso é o raio da planificação superficial lateral do cone, ou seja, 10√3
150.π = π.r.10√3
r = 5√3
Para achar a altura teremos
g² = r² + h²
300 = 75 + h²
225 = h²
h = 15
Logo o volume do cone é
V = π.r².h/3
V = π.(5√3)².15/3
V = 375.π
10. (UFGO) A terra retirada na escavação de uma piscina semicircular de 6 m de raio e 1,25 m de profundidade foi amontoada, na forma de um cone circular reto, sobre uma superfície horizontal plana.
Admita que a geratriz do cone faça um angulo de 60° com a vertical e que a terra retirada tenha volume de 20% maior do que o volume da piscina. Nessas condições, a altura do cone, em metros, é de:
- 2,0
- 2,8
- 3,0
- 3,8
- 4,0
Resposta: C
Resolução: Nessas condições, a altura do cone, em metros, é igual a 3.
Primeiramente, vamos calcular o volume da piscina.
De acordo com o enunciado, a piscina possui o formato semicircular, ou seja, a base é um semicírculo de raio 6 metros. Além disso, a sua profundidade é igual a 1,25 metros.
O volume será igual ao produto da área da base pela altura.
Portanto, o volume da piscina é igual a:
V = π.6².0,5.1,25
V = 22,5π m³.
Agora, vamos calcular o volume do cone.
Observe a figura abaixo. temos que:
tg(60) = r/h
r = h√3.
O volume do cone é igual a um terço do produto da área da base pela altura, ou seja,
V' = 1/3.π.(h√3)².h
V' = h³π m³.
Do enunciado, temos a informação de que o volume do cone é 20% maior que o volume da piscina. Dito isso, podemos afirmar que:
h³π = 1,2.22,5π
h³ = 27
h = 3 m.
11. (UERJ) A figura a seguir representa a trajetória curva do ponto P sobre a superfície lateral de um cone circular reto cujo raio da base mede 10 cm e a geratriz, 60 cm. O ponto P inicia sua trajetória no ponto A, que pertence à circunferência da base, e dá uma volta completa em torno do cone, até retornar ao ponto A.

Com a planificação da superfície lateral do cone, é possível calcular o menor comprimento da trajetória percorrida por P, que corresponde, em centímetros, a:
- 50
- 60
- 18π
- 20π
Resposta: B
Resolução:
12. (ITA) A superfície lateral de um cone circular reto corresponde a um setor circular de 216°, quando planificada. Se a geratriz do cone mede 10 cm, então a medida de sua altura, em cm, é igual a
- 5.
- 6.
- 7.
- 8.
- 9.
Resposta: D
Resolução:
13. (Mackenzie) Se um cone reto tem altura igual a 12 cm e seu volume é 64π cm³, então sua geratriz, em cm, mede
- 20
- 10√2
- 4√10
- 4√2
- 25√10
Resposta: C
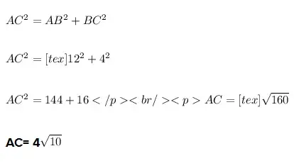
Resolução: Temos um cone reto que possui altura h=12 cm e volume de 64π e temos que achar o valor da geratriz que é qualquer segmento que tenha uma extremidade no vértice do cone e a outra na curva que envolve a base.
Portanto, temos que ao desenhar o cone, A é o vértice do cone, B é o centro da base do cone e C é a geratriz, formando um triângulo. A distância entre B e C é o raio da base do cone.
Como o volume do cone é dado por:

Como o raio é igual ao segmento BC, e AB corresponde à altura também conhecida, calculamos então AC que é a geratriz do cone (hipotenusa do triângulo):

14. (UFN) Para armazenar a água das chuvas foi construída uma cisterna no formato de um cone circular reto de altura h (metros), com vértice para baixo e com eixo vertical. A capacidade total da cisterna é de 13 500 litros.
Quando o nível está em h/3, qual o volume de água disponível na cisterna?
- 500 litros.
- 1 500 litros.
- 2 250 litros.
- 4 500 litros.
- 6 750 litros.
Resposta: A
Resolução: 500 litros.
15. (UFAM PSC) Um copo de sorvete é um cone de 10cm de altura e 4cm de diâmetro na base. Um sorveteiro coloca no copo duas bolas de sorvete com formato esférico e que possui diâmetro de 4cm. Se o sorvete derreter dentro do cone, então:
- haverá transbordamento de 8cm³ de sorvete.
- não haverá transbordamento e ainda sobrará espaço no copo para 8cm³ de sorvete.
- não haverá transbordamento, pois os dois sólidos possuem o mesmo volume.
- haverá transbordamento de 10cm³ de sorvete.
- não haverá transbordamento e ainda sobrará espaço no copo para 10cm³ de sorvete.
Resposta: A
Resolução:
16. (ESA) A geratriz de um cone circular reto de altura 8 cm é 10 cm, então a área da base desse cone é:
- 64 π cm²
- 9 π cm²
- 16 π cm²
- 36 π cm²
- 25 π cm²
Resposta: D
Resolução:
17. (UNESP) Um cone circular reto, de vértice V e raio da base igual a 6 cm, encontra-se apoiado em uma superfície plana e horizontal sobre uma geratriz. O cone gira sob seu eixo de revolução que passa por V, deslocando-se sobre a superfície plana horizontal, sem escorregar, conforme mostra a figura.

O cone retorna à posição inicial após o círculo da sua base ter efetuado duas voltas completas de giro. Considerando que o volume de um cone é calculado pela fórmula πr²h, o volume do cone da figura, em cm³, é igual a
- 72√3π
- 48√3π
- 36√3π
- 18√3π
- 12√3π
Resposta: A
Resolução:
18. (UPE) Um cone reto está inscrito num cubo de aresta 8 cm. Se a altura do cone e o diâmetro de sua base têm medidas iguais, qual é a diferença entre as medidas dos seus volumes? Considere π = 3,0
- 128 cm³
- 256 cm³
- 384 cm³
- 424 cm³
- 512 cm³
Resposta: C
Resolução:
19. (UDESC) A base de um cone reto está inscrita em uma face de um cubo e seu vértice está no centro da face oposta. Se o volume do cone é 2π/3 metros cúbicos, a área do cubo (em metros quadrados) é igual a:
- 8
- 24
- 16
- 20
- 4
Resposta: B
Resolução:
20. (Mackenzie) Fazendo-se a planificação de um cone de altura 15 cm, observa-se que sua superfície lateral é um setor circular, cujo ângulo central mede 4π/3 radianos.
Então, o volume do cone, em cm3, é
- 500π
- 900π
- 1500π
- 2025π
- 2700π
Resposta: B
Resolução: Uma vez que temos a altura (h), precisamos do raio (R) para calcular o volume. Antes disso, precisamos determinar a geratriz (g) da figura. Para isso, vamos utilizar a informação do ângulo central. Uma vez que o comprimento circular é 2πR, temos:
4π ÷ 3 = 2πR ÷ g
g = 3R ÷ 2
Agora, vamos utilizar outra relação do cone, que relaciona raio e geratriz:
g² = R² + h²
Substituindo, temos:
(3R ÷ 2)² = R² + 15²
9R² ÷ 4 = R² + 15²
5R² ÷ 4 = 225
R² = 180
Por fim, calculamos o volume do cone:
V = πR²h ÷ 3
V = π × 180 × 15 ÷ 3
V = 900π cm³