Herança Ligada Ao Sexo
Lista de 10 exercícios de Biologia com gabarito sobre o tema Herança Ligada Ao Sexo com questões de Vestibulares.
Você pode conferir as videoaulas, conteúdo de teoria, e mais questões sobre o tema Herança Ligada Ao Sexo.
1. (UFMG) A hipofosfatemia com raquitismo resistente à vitamina D é uma anomalia hereditária. Na prole de homens afetados com mulheres normais, todas as meninas são afetadas e todos os meninos, normais. É correto concluir que a anomalia em questão é:
- determinada por um gene dominante autossômico.
- determinada por um gene dominante ligado ao sexo.
- determinada por um gene recessivo autossômico.
- determinada por um gene recessivo ligado ao sexo.
- determinada por um gene do cromossomo Y.
Resposta: B
Resolução: A característica descrita é um exemplo de herança ligada ao sexo, mais especificamente, ligada ao cromossomo X. Isso se deve ao fato de que as meninas (XX) herdam o cromossomo X afetado de seu pai afetado, resultando em todas as filhas afetadas, enquanto os meninos (XY) não herdam o cromossomo X afetado do pai e, portanto, são normais
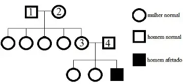
2. (Vunesp-SP) Considere o heredograma que representa uma família portadora de caráter recessivo condicionado por gene situado em um dos cromossomos sexuais.

A respeito dessa genealogia, podemos afirmar que:
- a mulher 2 é homozigota
- as filhas do casal 3 e 4 são certamente portadoras do gene.
- as mulheres 2 e 3 são certamente portadoras do gene.
- todas as filhas do casal 1 e 2 são portadoras do gene.
- os homens 1 e 4 são certamente portadores do gene.
Resposta: C
Resolução: Em um heredograma para um gene ligado ao sexo, se um pai afetado transmite o gene recessivo para todas as suas filhas, essas filhas são portadoras. As mulheres 2 e 3 são portadoras se tiverem um pai afetado e uma mãe que pode ou não ser portadora
3. (UEL) A hemofilia é uma doença hereditária recessiva ligada ao cromossomo sexual X, presente em todos os grupos étnicos e em todas as regiões geográficas do mundo. Caracteriza-se por um defeito na coagulação sanguínea, manifestando-se através de sangramentos espontâneos que vão de simples manchas roxas (equimoses) até hemorragias abundantes
Com base no enunciado e nos conhecimentos sobre o tema, é correto afirmar:
- Casamento de consangüíneos diminui a probabilidade de nascimento de mulheres hemofílicas.
- Pais saudáveis de filhos que apresentam hemofilia são heterozigotos.
- A hemofilia ocorre com a mesma freqüência entre homens e mulheres.
- As crianças do sexo masculino herdam o gene da hemofilia do seu pai.
- Mulheres hemofílicas são filhas de pai hemofílico e mãe heterozigota para este gene.
Resposta: E
Resolução: Como a hemofilia é ligada ao X, uma mulher hemofílica deve herdar o alelo recessivo para hemofilia de ambos os pais. Portanto, ela deve ter um pai hemofílico (com o alelo recessivo no X) e uma mãe que é heterozigota (com um alelo recessivo e um alelo dominante)
04. (UNIFOR) Em determinada espécie de ave, o gene A condiciona plumagem negra, enquanto que seu alelo A1 condiciona plumagem amarela. Aves heterozigóticas para esse caráter apresentam plumagem cinzenta. Sabendo-se que esse caráter é ligado ao sexo e que nas aves o sexo heterogamético é o feminino, espera-se que o cruzamento entre um macho amarelo e uma fêmea negra produza na descendência:
- somente machos negros.
- somente fêmeas amarelas.
- somente machos cinzentos.
- 100% dos machos cinzentos e 100% das fêmeas amarelas.
- 100% dos machos negros e 100% das fêmeas amarelas.
Resposta: D
Resolução: Como a plumagem é ligada ao sexo e o macho amarelo (X^A1Y) cruza com a fêmea negra (X^AX^A), as filhas (X^AX^A1) terão plumagem amarela e os filhos (X^AY^A1) terão plumagem cinza.
05. (UFMS) Uma mulher de visão normal, cujo pai é daltônico, casou-se com um homem também de visão normal. Lembrando que o daltonismo é uma doença de herança ligada ao sexo feminino, a probabilidade é de que
- um quarto das filhas do casal seja daltônico.
- metade dos meninos, filhos do casal, seja daltônica.
- metade dos meninos e metade das meninas, filhos do casal, sejam daltônicos.
- um quarto dos meninos, filhos do casal, seja daltônico.
- um oitavo de todos os filhos do casal, tanto meninos quanto meninas, seja daltônico.
Resposta: B
Resolução: A mulher com visão normal, mas cujo pai é daltônico, é portadora do gene para daltonismo (X^DX^d). O homem é normal (X^Y). Portanto, a probabilidade é que 50% dos filhos homens (X^dY) herdem o alelo daltônico da mãe e sejam daltônicos
06. (FATEC) Considere as afirmações a seguir sobre uma das doenças representadas na tirinha:

I. O daltonismo é uma deficiência visual que impede o indivíduo de enxergar certas cores e pode ser prevenido através de medicação específica.
II. Se uma mulher daltônica transmitir um dos seus autossomos portador do alelo para o daltonismo a um filho, ele será certamente daltônico.
III. Um homem hemizigótico para o alelo mutante do daltonismo tem dificuldades para distinguir cores.
IV. O daltonismo, atualmente, graças à engenharia genética, já tem tratamento e cura.
V. Uma mulher heterozigótica para o daltonismo, que recebeu de seu pai o cromossomo X, portador do gene alelo mutante para essa doença, tem visão normal para as cores.
Está correto o contido em:
- III e V, apenas.
- I, III e IV, apenas.
- II, III e V, apenas.
- I, II, IV e V, apenas.
- I, II, III, IV e V.
Resposta: A
Resolução:
III é correta porque um homem hemizigótico para o alelo mutante do daltonismo (X^dY) tem dificuldades para distinguir cores.
V é correta porque uma mulher heterozigótica para o daltonismo, que recebeu o cromossomo X portador do gene mutante do pai, tem visão normal, pois o alelo normal no outro cromossomo X domina.
07. (PUC-RJ) Uma característica genética recessiva presente no cromossomo Y é:
- poder ser herdada do pai ou da mãe pelos descendentes do sexo masculino e do feminino.
- só poder ser herdada a partir do pai por seus descendentes do sexo masculino.
- só poder ser herdada a partir do pai por seus descendentes do sexo feminino.
- só poder ser herdada a partir da mãe por seus descendentes do sexo masculino.
- só poder ser herdada a partir da mãe por seus descendentes do sexo feminino.
Resposta: B
Resolução: Características no cromossomo Y só podem ser herdadas do pai para os filhos homens, já que o cromossomo Y é transmitido apenas aos descendentes do sexo masculino.
08. (UFSM) Considerando-se indivíduos hemofílicos do sexo masculino, pode-se afirmar que suas células somáticas e gaméticas, respectivamente, possuem
- 46 autossomos – 23 alossomos.
- 44 alossomos + XX – 22 alossomos + X ou X.
- 44 alossomos + XY – 22 alossomos + X ou Y.
- 46 autossomos + XX – 23 autossomos + X ou X.
- 44 autossomos + XY – 22 autossomos + X ou Y.
Resposta: E
Resolução: Indivíduos hemofílicos masculinos têm 44 autossomos e um par de cromossomos sexuais XY em suas células somáticas e 22 autossomos + X ou Y em suas gametas.
09. (UEL) Em algumas modalidades esportivas, as equipes devem ser formadas apenas por atletas do mesmo sexo. Sobre as características que determinam ou diferenciam o sexo, é correto afirmar
- O sexo masculino depende de um gene determinador do sexo localizado no cromossomo Y.
- A progesterona atua no desenvolvimento de órgãos genitais típicos do sexo masculino.
- Os núcleos das células feminina e masculina apresentam um mesmo conjunto cromossômico.
- A testosterona é o principal hormônio sexual feminino produzido nas trompas.
- As células masculinas apresentam cromatina sexual.
Resposta: A
Resolução: O gene SRY localizado no cromossomo Y é responsável pela determinação do sexo masculino, desencadeando o desenvolvimento das características masculinas.
10. (PUC-RJ) Joana é daltônica e é do tipo sanguíneo A. Ela se casou com Pedro, que tem visão normal e é do tipo sanguíneo AB. Sabendo que a mãe de Joana tem visão normal e é do tipo sanguíneo O,a probabilidade de o casal ter uma menina de visão normal e do tipo sanguíneo A é de:
- 1/4
- 1/8
- 3/4
- 1
- 1/2
Resposta: A
Resolução: A probabilidade de o casal ter uma menina de visão normal e do tipo sanguíneo A é calculada a partir das combinações genéticas possíveis dos pais. Joana é daltônica (X^dX^d) e tipo sanguíneo A, Pedro é normal e tipo sanguíneo AB. O cruzamento resulta em uma probabilidade de 1/4 para uma filha com tipo sanguíneo A e visão normal