Probabilidade II
Lista de 20 exercícios de Matemática com gabarito sobre o tema Probabilidade II com questões do Enem.
01. (Enem 2017) Um morador de uma região metropolitana tem 50% de probabilidade de atrasar-se para o trabalho quando chove na região; caso não chova, sua probabilidade de atraso é de 25%. Para um determinado dia, o serviço de meteorologia estima em 30% a probabilidade da ocorrência de chuva nessa região.
Qual é a probabilidade de esse morador se atrasar para o serviço no dia para o qual foi dada a estimativa de chuva?
- 0,075
- 0,150
- 0,325
- 0,600
- 0,800
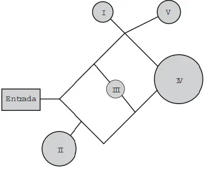
02. (Enem 2016) Um adolescente vai a um parque de diversões tendo, prioritariamente, o desejo de ir a um brinquedo que se encontra na área IV, dentre as áreas I, II, III, IV e V existentes. O esquema ilustra o mapa do parque, com a localização da entrada, das cinco áreas com os brinquedos disponíveis e dos possíveis caminhos para se chegar a cada área. O adolescente não tem conhecimento do mapa do parque e decide ir caminhando da entrada até chegar à área IV.

Suponha que relativamente a cada ramificação, as opções existentes de percurso pelos caminhos apresentem iguais probabilidades de escolha, que a caminhada foi feita escolhendo ao acaso os caminhos existentes e que, ao tomar um caminho que chegue a uma área distinta da IV, o adolescente necessariamente passa por ela ou retorna.
Nessas condições, a probabilidade de ele chegar à área IV sem passar por outras áreas e sem retornar é igual a
03. (Enem 2014) Para analisar o desempenho de um método diagnóstico, realizam-se estudos em populações contendo pacientes sadios e doentes. Quatro situações distintas podem acontecer nesse contexto de teste:
(1) Paciente TEM a doença e o resultado do teste é POSITIVO.
(2) Paciente TEM a doença e o resultado do teste é NEGATIVO.
(3) Paciente NÃO TEM a doença e o resul tado do teste é POSITIVO.
(4) Paciente NÃO TEM a doença e o resul tado do teste é NEGATIVO.
Um ı́ndice de desempenho para avaliação de um teste diagnóstico é a sensibilidade, definida como a probabilidade de o resultado do teste ser POSITIVO se o paciente estiver com a doença. O quadro refere-se a um teste diagnóstico para a doença A, aplicado em uma amostra composta por duzentos indivı́duos

Conforme o quadro do teste proposto, a sensibilidade dele é de
- 47,5%.
- 85,0%.
- 86,3%.
- 94,4%.
- 95,0%.
04. (Enem 2014) O psicólogo de uma empresa aplica um teste para analisar a aptidão de um candidato a determinado cargo. O teste consiste em uma série de perguntas cujas respostas devem ser verdadeiro ou falso e termina quando o psicólogo fizer a décima pergunta ou quando o candidato der a segunda resposta errada. Com base em testes anteriores, o psicólogo sabe que a probabilidade de o candidato errar uma resposta é 0,20. A probabilidade de o teste terminar na quinta pergunta é
- 0,02048.
- 0,08192.
- 0,24000.
- 0,40960.
- 0,49152.
05. (Enem 2013) Uma fábrica de parafusos possui duas máquinas, I e II, para a produção de certo tipo de parafuso.
Em setembro, a máquina I produziu tal de parafusos produzidos pela fábrica. Dos parafusos produzidos por essa máquina, eram defeituosos. Por sua vez, dos parafusos produzidos no mesmo mês pela máquina II eram defeituosos.
O desempenho conjunto das duas máquinas é classificado conforme o quadro, em que P indica a probabilidade de um parafuso escolhido ao acaso ser defeituoso.

O desempenho conjunto dessas máquinas, em setembro, pode ser classificado como
- excelente.
- bom.
- regular.
- ruim.
- péssimo.
06. (2013) Considere o seguinte jogo de apostas: Numa cartela com 60 números disponı́veis, um apostador escolhe de 6 a 10 números. Dentre os números disponı́veis, serão sorteados apenas 6. O apostador será premiado caso os 6 números sorteados estejam entre os números escolhidos por ele numa mesma cartela.
O quadro apresenta o preço de cada cartela, de acordo com a quantidade de números escolhidos.

Cinco apostadores, cada um com R$ 500,00 para apostar, fizeram as seguintes opções:
Arthur: 250 cartelas com 6 números escolhidos;
Bruno: 41 cartelas com 7 números escolhidos e 4 cartelas com 6 números escolhidos;
Caio: 12 cartelas com 8 números escolhidos e 10 cartelas com 6 números escolhidos;
Douglas: 4 cartelas com 9 números escolhidos;
Eduardo: 2 cartelas com 10 números escolhidos.
Os dois apostadores com maiores probabilidades de serem premiados são
- Caio e Eduardo.
- Arthur e Eduardo.
- Bruno e Caio.
- Arthur e Bruno.
- Douglas e Eduardo.
06. (Enem 2013) Numa escola com 1 200 alunos foi realizada uma pesquisa sobre o conhecimento desses em duas lı́nguas estrangeiras, inglês e espanhol. Nessa pesquisa constatou-se que 600 alunos falam inglês, 500 falam espanhol e 300 não falam qualquer um desses idiomas.
Escolhendo-se um aluno dessa escola ao acaso e sabendo-se que ele não fala inglês, qual a probabilidade de que esse aluno fale espanhol?
07. (Enem 2013) Uma loja acompanhou o número de compradores de dois produtos, A e B, durante os meses de janeiro, fevereiro e março de 2012. Com isso, obteve este gráfico:

A loja sorteará um brinde entre os compradores do produto A e outro brinde entre os compradores do produto B.
Qual a probabilidade de que os dois sorteados tenham feito suas compras em fevereiro de 2012?
08. (Enem 2012) José, Paulo e Antônio estão jogando dados não viciados, nos quais, em cada uma das seis faces, há um número de 1 a 6. Cada um deles jogará dois dados simultaneamente. José acredita que, após jogar seus dados, os números das faces voltadas para cima lhe darão uma soma igual a 7. Já Paulo acredita que sua soma será igual a 4 e Antônio acredita que sua soma será igual a 8.
Com essa escolha, quem tem a maior probabilidade de acertar sua respectiva soma é
- Antônio, já que sua soma é a maior de todas as escolhidas.
- José e Antônio, já que há 6 possibilidades tanto para a escolha de José quanto para a escolha de Antônio, e há apenas 4 possibilidades para a escolha de Paulo.
- José e Antônio, já que há 3 possibilidades tanto para a escolha de José quanto para a escolha de Antônio, e há apenas 2 possibilidades para a escolha de Paulo.
- José, já que há 6 possibilidades para formar sua soma, 5 possibilidades para formar a soma de Antônio e apenas 3 possibilidades para formar a soma de Paulo.
- Paulo, já que sua soma é a menor de todas.
09. (Enem 2012) Em um jogo há duas urnas com 10 bolas de mesmo tamanho em cada urna. A tabela a seguir indica as quantidades de bolas de cada cor em cada urna.

Uma jogada consiste em:
(1o) o jogador apresenta um palpite sobre a cor da bola que será retirada por ele da urna 2;
(2o) ele retira, aleatoriamente, uma bola da urna 1 e a coloca na urna 2, misturando-a com as que lá estão;
(3o) em seguida ele retira, também aleatoriamente, uma bola da urna 2;
(4o) se a cor da última bola retirada for a mesma do palpite inicial, ele ganha o jogo.
Qual cor deve ser escolhida pelo jogador para que ele tenha a maior probabilidade de ganhar?
- Azul.
- Amarela.
- Branca.
- Verde
- Vermelha.
10. (Enem 2012) Em um blog de variedades, músicas, mantras e informações diversas, foram postados “Contos de Halloween”. Após a leitura, os visitantes poderiam opinar, assinalando suas reações em: “Divertido”, “Assustador” ou “Chato”. Ao final de uma semana, o blog registrou que 500 visitantes distintos acessaram esta postagem.
O gráfico a seguir apresenta o resultado da enquete.

O administrador do blog irá sortear um livro entre os visitantes que opinaram na postagem “Contos de Halloween”.
Sabendo que nenhum visitante votou mais de uma vez, a probabilidade de uma pessoa escolhida ao acaso entre as que opinaram ter assinalado que o conto “Contos de Halloween”é “Chato”é mais aproximada por
- 0,09.
- 0,12.
- 0,14.
- 0,15.
- 0,18
11. (Enem 2011) O gráfico mostra a velocidade de conexão à internet utilizada em domicı́lios no Brasil. Esses dados são resultado da mais recente pesquisa, de 2009, realizada pelo Comitê Gestor da Internet (CGI).

Escolhendo-se, aleatoriamente, um domicı́lio pesquisado, qual a chance de haver banda larga de conexão de pelo menos 1Mbps neste domicı́lio?
- 0,45
- 0,42
- 0,30
- 0,22
- 0,15
12. (Enem 2011) Todo o paı́s passa pela primeira fase de campanha de vacinação contra a gripe suı́na (H1N1). Segundo um médico infectologista do Instituto Emı́lio Ribas, de São Paulo, a imunização “deve mudar”, no paı́s, a história da epidemia. Com a vacina, de acordo com ele, o Brasil tem a chance de barrar uma tendência do crescimento da doença, que já matou 17 mil no mundo. A tabela apresenta dados especı́ficos de um único posto de vacinação.

Escolhendo-se aleatoriamente uma pessoa atendida nesse posto de vacinação, a probabilidade de ela ser portadora de doença crônica é
- 8%
- 9%.
- 11%.
- 12%
- 22%.
13. (Enem 2011) Em um jogo disputado em uma mesa de sinuca, há 16 bolas: 1 branca e 15 coloridas, as quais, de acordo com a coloração, valem de 1 a 15 pontos (um valor para cada bola colorida). O jogador acerta o taco na bola branca de forma que esta acerte as outras, com o objetivo de acertar duas das quinze bolas em quaisquer caçapas. Os valores dessas duas bolas são somados e devem resultar em um valor escolhido pelo jogador antes do inı́cio da jogada.
Arthur, Bernardo e Caio escolhem os números 12, 17 e 22 como sendo resultados de suas respectivas somas.
Com essa escolha, quem tem a maior probabilidade de ganhar o jogo é
- Arthur, pois a soma que escolheu é a menor.
- Bernardo, pois há 7 possibilidades de compor a soma escolhida por ele, contra 4 possibilidades para a escolha de Arthur e 4 possibilidades para a escolha de Caio.
- Bernardo, pois há 7 possibilidades de compor a soma escolhida por ele, contra 5 possibilidades para a escolha de Arthur e 4 possibilidades para a escolha de Caio.
- Caio, pois há 10 possibilidades de compor a soma escolhida por ele, contra 5 possibilidades para a escolha de Arthur e 8 possibilidades para a escolha de Bernardo.
- Caio, pois a soma que escolheu é a maior.
14. (Enem 2011) Rafael mora no Centro de uma cidade e decidiu se mudar, por recomendações médicas, para uma das regiões: Rural, Comercial, Residencial Urbano ou Residencial Suburbano. A principal recomendação médica foi com as temperaturas das “ilhas de calor”da região, que deveriam ser inferiores a 31oC. Tais temperaturas são apresentadas no gráfico:

Escolhendo, aleatoriamente, uma das outras regiões para morar, a probabilidade de ele escolher uma região que seja adequada às recomendações médicas é
15. (Enem 2010) O diretor de um colégio leu numa revista que os pés das mulheres estavam aumentando. Há alguns anos, a média do tamanho dos calçados das mulheres era de 35,5 e, hoje, é de 37,0. Embora não fosse uma informação cientı́fica, ele ficou curioso e fez uma pesquisa com as funcionárias do seu colégio, obtendo o quadro a seguir:

Escolhendo uma funcionária ao acaso e sabendo que ela tem calçado maior que 36,0, a probabilidade de ela calçar 38,0 é
16. (Enem 2010) A figura I abaixo mostra um esquema das principais vias que interligam a cidade A com a cidade B. Cada número indicado na figura II representa a probabilidade de pegar um engarrafamento quando se passa na via indicada. Assim, há uma probabilidade de 30% de se pegar engarrafamento no deslocamento do ponto C ao o ponto B, passando pela estrada E4, e de 50%, quando se passa por E3. Essas probabilidades são independentes umas das outra

Paula deseja se deslocar da cidade A para a cidade B usando exatamente duas das vias indicadas, percorrendo um trajeto com a menor probabilidade de engarrafamento possı́vel. O melhor trajeto para Paula é
- E1E3.
- E1E4.
- E2E4
- E2E5.
- E2E6.
17. (Enem 2009) O controle de qualidade de uma empresa fabricante de telefones celulares aponta que a probabilidade de um aparelho de determinado modelo apresentar defeito de fabricação é de 0,2%. Se uma loja acaba de vender 4 aparelhos desse modelo para um cliente, qual é a probabilidade de esse cliente sair da loja com exatamente dois aparelhos defeituosos?
- 2 × (0,2%)4.
- 4 × (0,2%)2.
- 6 × (0,2%)2 × (99, 8%) 2.
- 4 × (0,2%).
- 6 × (0,2%) × (99,8%).
Texto para a questão 2
A população mundial está ficando mais velha, os ı́ndices de natalidade diminuı́ram e a expectativa de vida aumentou. No gráfico seguinte, são apresentados dados obtidos por pesquisa realizada pela Organização das Nações Unidas (ONU), a respeito da quantidade de pessoas com 60 anos ou mais em todo o mundo. Os números da coluna da direita representam as faixas percentuais. Por exemplo, em 1950 havia 95 milhões de pessoas com 60 anos ou mais nos paı́ses desenvolvidos, número entre 10% e 15% da população total nos paı́ses desenvolvidos.

18. (Enem 2009) Em 2050, a probabilidade de se escolher, aleatoriamente, uma pessoa com 60 anos ou mais de idade, na população dos paı́ses desenvolvidos, será um número mais próximo de
19. (Enem 2009) A população brasileira sabe, pelo menos intuitivamente, que a probabilidade de acertar as seis dezenas da mega sena não é zero, mas é quase. Mesmo assim, milhões de pessoas são atraı́das por essa loteria, especialmente quando o prêmio se acumula em valores altos. Até junho de 2009, cada aposta de seis dezenas, pertencentes ao conjunto {01, 02, 03, ..., 59, 60}, custava R$ 1,50.
Disponı́vel em: caixa.gov.br. Acesso em: 7 jul. 2009.
Considere que uma pessoa decida apostar exatamente R$ 126,00 e que esteja mais interessada em acertar apenas cinco das seis dezenas da mega sena, justamente pela dificuldade desta última. Nesse caso, é melhor que essa pessoa faça 84 apostas de seis dezenas diferentes, que não tenham cinco números em comum, do que uma única aposta com nove dezenas, porque a probabilidade de acertar a quina no segundo caso em relação ao primeiro é, aproximadamente,
- 4 vezes menor.
- 9 vezes menor.
- 14 vezes menor.